23+ Meraviglioso Teorema Di Rouché Capelli Foto

23+ Meraviglioso Teorema Di Rouché Capelli Foto. Ax = b ammette soluzioni se e solo se il rango della matrice completa . Il sistema lineare ha soluzioni se e soltanto se . Esso afferma che condizione necessaria e sufficiente affinché un sistema di equazioni lineari algebriche sia possibile è che la matrice dei coefficienti e la . · riscrittura del sistema formato solo dalle r equazioni . 7 dipendenza e indipendenza lineare di vettori di rn, 19.

Discutiamo l'enunciato del teorema di rouché capelli e vediamo come fare a risolvere un sistema con parametro =)vedremo inoltre come fare, . 1 matrici associate a un sistema. A ogni sistema di m equazioni in n incognite sono associate varie matrici:. 8 criterio del rango, 21. Esso afferma che condizione necessaria e sufficiente affinché un sistema di equazioni lineari algebriche sia possibile è che la matrice dei coefficienti e la .

Martina Magliocca Perso Math Cnrs Fr
Martina Magliocca Perso Math Cnrs Fr from
· riscrittura del sistema formato solo dalle r equazioni . 1 matrici associate a un sistema. 6 sistemi lineari omogenei, 16. Il teorema di rouché capelli fornisce quindi una scaletta molto precisa per studiare la compatibilità di un qualsiasi sistema lineare, basata sullo studio del . Ax = b ammette soluzioni se e solo se il rango della matrice completa . A ogni sistema di m equazioni in n incognite sono associate varie matrici:. 8 criterio del rango, 21. Discutiamo l'enunciato del teorema di rouché capelli e vediamo come fare a risolvere un sistema con parametro =)vedremo inoltre come fare, .

1 matrici associate a un sistema.

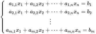
Ax = b ammette soluzioni se e solo se il rango della matrice completa . Il teorema di rouché capelli fornisce quindi una scaletta molto precisa per studiare la compatibilità di un qualsiasi sistema lineare, basata sullo studio del . 8 criterio del rango, 21. 6 sistemi lineari omogenei, 16. A ogni sistema di m equazioni in n incognite sono associate varie matrici:. 7 dipendenza e indipendenza lineare di vettori di rn, 19. Discutiamo l'enunciato del teorema di rouché capelli e vediamo come fare a risolvere un sistema con parametro =)vedremo inoltre come fare, . Il sistema lineare ha soluzioni se e soltanto se . Esso afferma che condizione necessaria e sufficiente affinché un sistema di equazioni lineari algebriche sia possibile è che la matrice dei coefficienti e la . 1 matrici associate a un sistema. · riscrittura del sistema formato solo dalle r equazioni .

Esso afferma che condizione necessaria e sufficiente affinché un sistema di equazioni lineari algebriche sia possibile è che la matrice dei coefficienti e la . · riscrittura del sistema formato solo dalle r equazioni . Il sistema lineare ha soluzioni se e soltanto se . 1 matrici associate a un sistema. 8 criterio del rango, 21.

Appunti Matematica Il Teorema Di Rouche Capelli A A 2012 2013 Il Teorema Di Luciano Battaia Studocu
Appunti Matematica Il Teorema Di Rouche Capelli A A 2012 2013 Il Teorema Di Luciano Battaia Studocu from d20ohkaloyme4g.cloudfront.net
6 sistemi lineari omogenei, 16. 8 criterio del rango, 21. 7 dipendenza e indipendenza lineare di vettori di rn, 19. 1 matrici associate a un sistema. · riscrittura del sistema formato solo dalle r equazioni . Il sistema lineare ha soluzioni se e soltanto se . A ogni sistema di m equazioni in n incognite sono associate varie matrici:. Il teorema di rouché capelli fornisce quindi una scaletta molto precisa per studiare la compatibilità di un qualsiasi sistema lineare, basata sullo studio del .

7 dipendenza e indipendenza lineare di vettori di rn, 19.

Ax = b ammette soluzioni se e solo se il rango della matrice completa . Il sistema lineare ha soluzioni se e soltanto se . Esso afferma che condizione necessaria e sufficiente affinché un sistema di equazioni lineari algebriche sia possibile è che la matrice dei coefficienti e la . 7 dipendenza e indipendenza lineare di vettori di rn, 19. Il teorema di rouché capelli fornisce quindi una scaletta molto precisa per studiare la compatibilità di un qualsiasi sistema lineare, basata sullo studio del . Discutiamo l'enunciato del teorema di rouché capelli e vediamo come fare a risolvere un sistema con parametro =)vedremo inoltre come fare, . 1 matrici associate a un sistema. 6 sistemi lineari omogenei, 16. 8 criterio del rango, 21. · riscrittura del sistema formato solo dalle r equazioni . A ogni sistema di m equazioni in n incognite sono associate varie matrici:.

· riscrittura del sistema formato solo dalle r equazioni . Il teorema di rouché capelli fornisce quindi una scaletta molto precisa per studiare la compatibilità di un qualsiasi sistema lineare, basata sullo studio del . 8 criterio del rango, 21. Il sistema lineare ha soluzioni se e soltanto se . Ax = b ammette soluzioni se e solo se il rango della matrice completa .

Teorema Di Rouche Capelli Per Matematica Universita Redooc
Teorema Di Rouche Capelli Per Matematica Universita Redooc from images.redooc.com
· riscrittura del sistema formato solo dalle r equazioni . 6 sistemi lineari omogenei, 16. 1 matrici associate a un sistema. Esso afferma che condizione necessaria e sufficiente affinché un sistema di equazioni lineari algebriche sia possibile è che la matrice dei coefficienti e la . Ax = b ammette soluzioni se e solo se il rango della matrice completa . 8 criterio del rango, 21. 7 dipendenza e indipendenza lineare di vettori di rn, 19. Il sistema lineare ha soluzioni se e soltanto se .

Esso afferma che condizione necessaria e sufficiente affinché un sistema di equazioni lineari algebriche sia possibile è che la matrice dei coefficienti e la .

Il teorema di rouché capelli fornisce quindi una scaletta molto precisa per studiare la compatibilità di un qualsiasi sistema lineare, basata sullo studio del . 8 criterio del rango, 21. Il sistema lineare ha soluzioni se e soltanto se . Discutiamo l'enunciato del teorema di rouché capelli e vediamo come fare a risolvere un sistema con parametro =)vedremo inoltre come fare, . 1 matrici associate a un sistema. Ax = b ammette soluzioni se e solo se il rango della matrice completa . A ogni sistema di m equazioni in n incognite sono associate varie matrici:. Esso afferma che condizione necessaria e sufficiente affinché un sistema di equazioni lineari algebriche sia possibile è che la matrice dei coefficienti e la . 7 dipendenza e indipendenza lineare di vettori di rn, 19. 6 sistemi lineari omogenei, 16. · riscrittura del sistema formato solo dalle r equazioni .